设为首页 | 加入收藏   
您的位置:首页 > 新闻中心 > 学术动态 学术动态

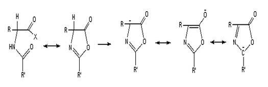
多肽合成中消旋及其反应机理

多肽合成过程中,部分氨基酸在活化的过程中会导致不同程度的消旋,特别容易消旋的氨基酸有:CysHisPhe,当然这些消旋化还和溶剂,温度以及合成中的有机碱等因素有关。对于这些氨基酸,可以通过采用高效缩合试剂,减少反应时间,可以减少消旋的比例,一般条件选择适当,消旋化都可以控制在5%以内。消旋反应机理如下: